Минздрав Подмосковья обнародовал обновлённый список пострадавших при теракте в "Крокусе"
В больницах остаются 83 пострадавших в результате теракта в "Крокусе"
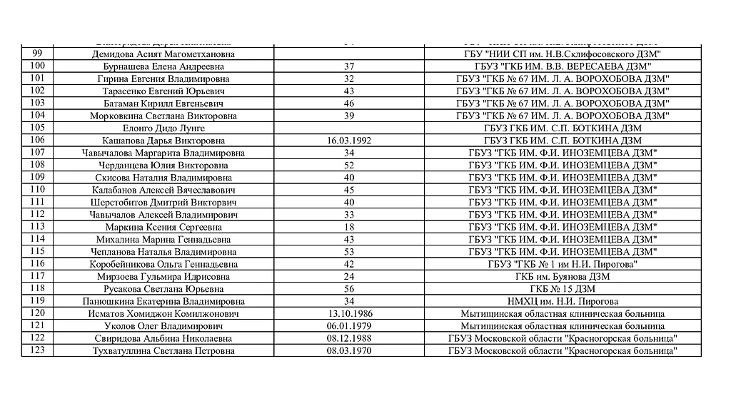
Более 80 человек остаются в больницах Москвы и Подмосковья после теракта в "Крокус сити холле". Об этом свидетельствует обновлённый список на сайте областного Минздрава.
Так, всего в списке 123 имени пострадавших, 40 из них уже выписаны, 83 остаются на лечении.

Список пострадавших при теракте в "Крокусе". Фото © Сайт Минздрава Московской области

Список пострадавших при теракте в "Крокусе". Фото © Сайт Минздрава Московской области

Список пострадавших при теракте в "Крокусе". Фото © Сайт Минздрава Московской области

Список пострадавших при теракте в "Крокусе". Фото © Сайт Минздрава Московской области
Напомним, страшный теракт в "Крокус сити холле" произошёл вечером 22 марта. Четверо вооружённых террористов ворвались в зал, где ожидался концерт рок-группы "Пикник", и открыли огонь, после чего подожгли здание и скрылись. По последним данным, трагедия унесла жизни 139 человек, а число пострадавших выросло до 360. Все последние новости о трагедии, лечении пострадавших, ходе расследования, примерах героизма и взаимопомощи читайте здесь.
Life.ru

