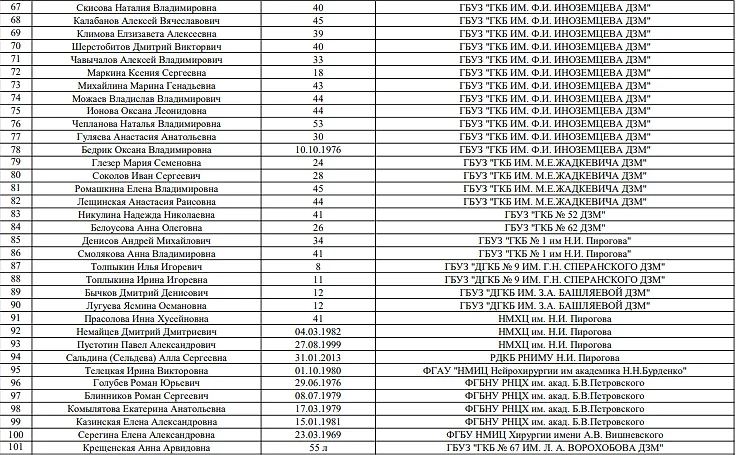
Опубликован список из 182 пострадавших в "Крокусе"
Минздрав Московской области дополнил список пострадавших во время теракта в красногорском "Крокус сити холле", в нём числится 182 имени. Список опубликован на официальном сайте ведомства. Там отметили, что сейчас на стационарном лечении находится 121 человек, ещё 61 — на амбулаторном.

Обновлённый список из 182 пострадавших в "Крокусе". Фото © Минздрав Подмосковья

Обновлённый список из 182 пострадавших в "Крокусе". Фото © Минздрав Подмосковья

Обновлённый список из 182 пострадавших в "Крокусе". Фото © Минздрав Подмосковья

Обновлённый список из 182 пострадавших в "Крокусе". Фото © Минздрав Подмосковья

Обновлённый список из 182 пострадавших в "Крокусе". Фото © Минздрав Подмосковья
Напомним, 22 марта в "Крокус сити холле" террористы открыли огонь по зрителям, а потом облили концертный зал бензином и подожгли. СК РФ уже сообщил о 137 погибших. По неподтверждённой информации, количество смертей достигает 143. В России сегодня общенациональный траур по жертвам теракта. На месте ЧП продолжается разбор завалов.
ТАСС / Прокофьев Вячеслав

