Минздрав Подмосковья выложил обновлённый список из 140 пострадавших в "Крокусе"
Число пострадавших при теракте в "Крокус сити холле" в подмосковном Красногорске вечером 22 марта достигло 140 человек. Обновлённый список опубликован на сайте Минздрава Московской области.

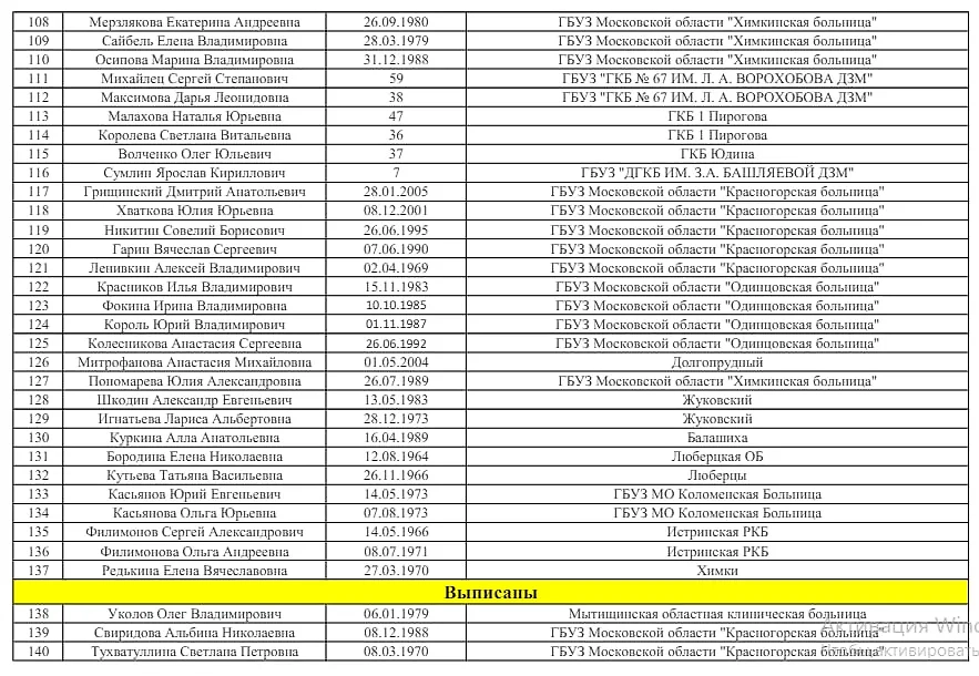
Обновлённый список из 140 пострадавших в "Крокусе". Фото © Минздрав Подмосковья

Обновлённый список из 140 пострадавших в "Крокусе". Фото © Минздрав Подмосковья
Согласно сообщению министерства, 105 из раненых находятся на стационарном лечении. Ещё трое выписаны после оказания помощи, остальным помогают амбулаторно. В московских городских больницах находятся 93 человека, уточнил Депздрав Москвы.

Обновлённый список из 140 пострадавших в "Крокусе". Фото © Минздрав Подмосковья

Обновлённый список из 140 пострадавших в "Крокусе". Фото © Минздрав Подмосковья

Обновлённый список из 140 пострадавших в "Крокусе". Фото © Минздрав Подмосковья
Напомним, 22 марта террористы устроили теракт в подмосковном комплексе Crocus City Hall ("Крокус сити холл"), после чего подожгли здание. Следственный комитет России сообщает о 133 погибших. По неофициальным данным, число жертв достигает 143, более 120 человек пострадало. Задержаны 11 человек, в том числе четверо террористов, которые пытались скрыться на Украине. Их накрыли в Брянской области. Один из боевиков рассказал, что согласился на массовое убийство мирных граждан ради выплаты размером 500 тысяч рублей. Сейчас террористов доставили в московский СК.
Life.ru

